受阻Lewis酸碱对(FLP),是由具有一定空间位阻的Lewis酸碱组成,体系中Lewis酸碱不发生中和反应,各自独立存在。Lewis酸碱相互协同催化反应,往往可以实现1+1大于2的效果。FLP在有机小分子活化、不对称催化、新型有机反应的开发和高分子合成等领域取得了飞速的发展。近年来,哔咔漫画
张越涛教授课题组通过设计合成一系列新型的Lewis酸碱对,在高分子精准合成领域取得了一系列的研究进展。2018年通过设计基于氮杂环烯烃的Lewis酸碱对,首次实现了FLP催化的乙烯基极性单体的活性可控聚合(ACS Catal., 2018, 8, 3571.),该催化体系还可以实现共轭碳碳双键单体的100%区域选择性聚合(Angew. Chem. Int. Ed., 2021, 60, 24306. )。随后开发的有机超强膦碱体系,具有超长的寿命和稳定性,可以在室温下实现超高分子量PMMA的合成(分子量高达1927 kg/mol,Angew. Chem. Int. Ed., 2018, 57, 17230.),利用该体系进一步实现了多嵌段序列可控高分子的合成,在嵌段数、分子量、每一段的聚合度,以及合成效率方面都取得了明显的突破(Angew. Chem. Int. Ed., 2020, 59, 11613.)。利用FLP催化高分子合成中对单体为0级动力学的特征,一锅一步法实现了嵌段聚合自组装,可以在大范围内调控组装体的形貌结构(Angew. Chem. Int. Ed., 2022, 61, e202202448.)。进一步设计的双引发的膦碱体系,可以一步法实现可再生耐高温热塑性弹性体的高效合成,该类弹性体还展现出良好的弹性恢复(95%)以及紫外屏蔽性(Angew. Chem. Int. Ed., 2022, 61, e202202448. Nat. Commun. 2021, 12, 4874. )。
近日,哔咔漫画
张越涛教授课题组,合成了一种分子内三官能FLP催化剂,催化γ-methyl-α-methylene-γ-butyrolactone (MMBL)合成了完全由一种丙烯酸酯类单体构成的、无端基的、真正的环状聚合物c-PMMBL。该成果以标题为“Recyclable cyclic bio-based acrylic polymer via pairwise monomer enchainment by a trifunctional Lewis pair”发表在最新一期Nature Chemistry上(DOI:10.1038/s41557-022-01097-7)。该工作的第一作者和通讯作者分别是哔咔漫画
哔咔漫画
超分子结构与材料国家重点实验室的宋艳娇博士和张越涛教授。
环状聚合物是一类没有链端结构的特殊拓扑类型的聚合物。其一般具有区别于传统线型聚合物的性质,如更低的黏度、更高的热稳定性等。然而,受限于合成方法少、难度大等原因,使得人们对环状聚合物性能的了解依然有限。因此当前研究的热点和难点是发展环状聚合物的高效、可控合成方法。目前获得环状聚合物的合成策略主要分为两种:关环策略(RCP)和扩环策略(REP)。前者是将单分子或双分子聚合物链的α端和ω端进行偶联得到环状聚合物,这种方法需要对聚合物链端进行官能化,而且偶联成环需要在极稀释条件下进行;后者虽然可以在高浓度条件下合成环状聚合物,但由于缺乏普适性,一般需要为每种单体单独设计催化剂/引发剂。
针对上述问题,作者开发了一种B-P-B三官能FLP催化剂Ⅰ(图1b),催化环状丙烯酸酯单体MMBL以双分子协同、单体成对插入的方式进行链增长,最后两条链的ω端进攻另一条链的α端得到完全由单体构成的环状聚合物(图1a)。

图1 a, c-PMMBL形成示意图。FLP I与单体反应形成环状二聚体模板,然后成对的单体嵌入以扩环,最终使催化剂I环化和再生。酸性B位点为蓝色,标记为B1和B2,碱性P位点为红色,单体为绿色。b,本工作中使用的三官能催化剂B-P-B(I)和单官能P(II)的结构。
通过FLP I 催化 MMBL 聚合结果来看(图1a),该催化剂具有较高的活性,几乎可以实现100-1200当量MMBL的完全转化。
作者首先对聚合物的环状拓扑结构进行了表征,通过MALDI-TOF可以看出(图2b)图中具有两组峰,意味着似乎存在两种不同的链引发/链终止途径,但分析发现二者均为不含端基的环状结构,区别仅在于聚合物链中单体数量是奇数还是偶数。在证明了聚合物的环状拓扑结构的同时,上述特殊的结果也激起了作者对机理进行更深入研究的兴趣。作者通过制备了与环状聚合物分子量近似的线型聚合物,比较二者的特性粘度[η]I/[η]linear ≈ 0.7(图2e)。进一步确定了PMMBL的环状拓扑结构。

图2 a, 表中显示了室温(~25℃)下由MMBL和FLP I在DCM中制备的PMMBL的选定聚合数据 ,[M]0 = 0.936 M. a通过1H NMR光谱测定单体转化率。b使用光散射检测器通过GPC测量绝对重均分子量(Mw)。cMn 由Mw/Đ计算得出. dĐ = Mw/Mn. b, 用FLP I.制备的MMBL低聚物的MALDI-TOF MS谱,c,d,b中分子离子的主要(c)和次要(d)系列的m/z与2MMBL重复单元数量的关系图。e,l-PMMBL和c-PMMBL的特性粘度的比较,为用IAP–Al(C6F5)3 制备的l-PMMBL和用I制备的c-PMMBL的Mark–Houwink图。f, c-PMMBL50-ran-PVMBL50-g-PEG2000的TEM图像。
对聚合过程的研究表明,FLP1与MMBL的化学剂量反应生成了约等摩尔比的环状双分子产物1A和环状单分子产物1B(图3a),其中1A得到了晶体结构的明确表征(图3b)。单独采用1A与1B的混合物进行聚合试验,得到的聚合物结构完全相同。作者进一步对动力学进行研究(图4a,b)。首先单独使用1A的动力学显示(图4a),反应相对于1A表现为一级动力学,说明1A聚合反应式按照ka1的途径进行。而使用1A与1B的混合物催化聚合时,相对于催化剂中Lewis碱的总量动力学显示为1.5级(图4b),这说明聚合过程中1B必须采用kb2的途径进行才能实现,也就是说虽然催化剂转化成了1A与1B的混合物,但两者在聚合时都要以双分子协同方式进行链增长。

图3 a,FLP I与MMBL的反应分别提供环状双分子和单分子中间体1A和1B。为了清楚起见,这两个B原子被指定为B1和B2。b,环状双分子中间体1A的X射线晶体结构。c, 环状单分子中间体2B(由FLP I和MMA的反应生成)的X射线晶体结构,其是环状单分子1B的模型。

图4 a,b,室温下使用1A (a)和 1A和 1B (b)在DCM中的混合物进行MMBL聚合的零级动力学图。插图:ln kapp 与 ln [P]total 图 总共从两组聚合动力学中提取。 [P]total = 2 × [1A] + [1B],表示系统中P位点的总浓度。c,分别从起始的双分子环1A和单分子环1B模板到催化剂-单体络合物D和M的基本步骤,以及它们对应的单体嵌段过渡状态。还显示了1A和1B所提出的RDSs的相应动力学方程。
通过上述实验细节、活性物质表征和动力学分析,作者提出了三官能FLP催化合成c-PMMBL的反应机理。在第一步中,不稳定的B2–C键因为下一个单体的配位/活化过程所断裂,被活化的单体与 B1 相连的活性烯醇式链末端进行 Michael 加成,从而使新单体被插入到聚合物链上。然后 B1与 B2 互换角色,使得聚合物链一直保持着扩环状态,由于是双分子协同机理,因此在这个扩环过程中展现出了独特的“成对单体”链增长现象。聚合结束时,两条聚合物链相互首尾相连并释放出催化剂形成环状聚合物。该方法将传统扩环和闭环策略相结合,是一种催化成环新机制。该机制也很好地解释了前文中MALDI-TOF图中奇数和偶数链之比为2:1的结果,虽然在链增长过程中活性中心具有两个活性相同的反应位点,但并不意味着它们具有完全相同的传播速率,设想图5中的三种情况,即在虚线左侧比右侧多插一个单体和虚线右侧比左侧多插入一个单体,以及两侧单体数量相等的情况,可以解释聚合物中奇数和偶数链之比为2:1的结果,因此这是一个概率问题而非聚合机理不同所致(图5)。

图5 c-PMMBL合成中的关键基本步骤,包括通过将催化剂以相同的化学计量加入到MMBL中形成环状模板1A和1B,环状模板1A、1B中的后续单体配位/活化和插入事件以及双催化剂过渡状态,通过在双催化剂过渡状态和环闭合的两个LP催化剂位点处同时重复成对单体嵌段进行环膨胀,以产生具有奇数和偶数MMBL单元的环状聚合物并再生催化剂。
通过下边的动画可以帮助大家更加直观的了解催化的过程:

作者还对该单体的普适性做了研究,实现了MMBL与3-methylene-5-vinyldihydrofuran-2(3H)-one (VMBL)的随机共聚(MMBL/VMBL/I = 50:50:1)。不仅如此,还通过点击反应对VMBL的双键进行后官能化,由于侧链的引入可以在TEM下观测到该环状接枝共聚物的图像(图2f),从而以更直观的方式表征了该类聚合物的环状拓扑结构。
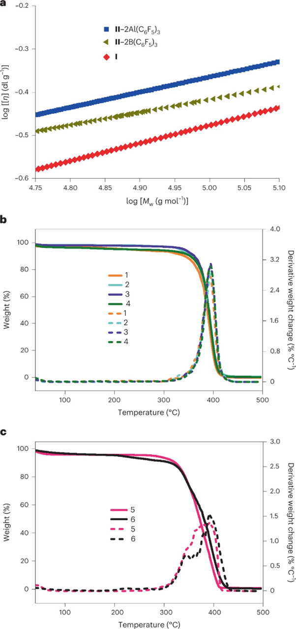
此外,通过单官能催化剂分子间 LP II/2Al(C6F5)3和LP II/2B(C6F5)3体系催化聚合的对照实验,前者只能形成线性聚合物,后者则形成了线性和环状聚合物的混合物,只有Ⅰ催化生成了完全的环状聚合物(图6a)。上述结果证明了这种分子内三官能FLP是这类环状聚合物选择性产生的充分必要条件。对l-PMMBL和c-PMMBL的热重分析(TGA)表明,c-PMMBL相比l-PMMBL具有更高的分解温度和更窄的热降解窗口。二者具有相近的玻璃化转变温度Tg。并且环状聚合物可以以79%的产率热解实现聚合物到MMBL单体的闭环回收。

图6 a,不同拓扑结构的PMMBL的特性粘度比较,如Mark–Houwink图所示:由FLP I产生的c-PMMBL,由分子间 II–2B(C6F5)3 产生的环状和线性PMMBL混合物,以及由分子间LPII–2Al(C6F5)3制备的l-PMMBL。b,具有四种不同MWs的c-PMMBL样品的TGA(实线)和DTG(虚线)曲线叠加:sample 1, Mn = 93.1 kg mol–1, Đ = 1.31; sample 2, Mn = 109 kg mol–1, Đ = 1.21; sample 3, Mn = 176 kg mol–1, Đ = 1.41; sample 4, Mn = 403 kg mol–1, Đ = 1.88. c,两种不同MWs的l-PMMBL样品的TGA(实线)和DTG(虚线)曲线叠加图:sample 5, Mn = 289 kg mol–1, Đ = 1.82; sample 6, Mn = 427 kg mol–1, Đ = 1.77.
小结,作者通过B-P-B三官能FLP催化剂实现了只含有单体的丙烯酸酯类环状聚合物的可控合成,这是一种全新的双分子协同成环机制。该环状聚合物有着明显区别于类似线型聚合物的性质。是一种实现环状聚合物大量合成的新方法。
课题组简介:
张越涛课题组的研究主要集中于:FLP精准控制聚合物合成;合成来自可再生单体的聚合物;源自生物质的精细化学品和生物燃料;有机合成方法学。课题组自有多检测器GPC,HPLC,GC,DSC,TGA等多种仪器,并依托超分子国家重点实验室和哔咔漫画
仪器平台,实验条件精良,课题组常年招收博士生及博士后,欢迎交流合作,感兴趣的同学和企业可联系:[email protected].
详见课题组主页:

通讯作者简介:

张越涛,1999年在哔咔漫画
哔咔漫画
获化学学士学位,2004年于同校获有机化学理学博士学位并于同年留校工作。2006年赴美国科罗拉多州立大学从事博士后研究,2009年11月晋升为二级研究员。2013年回国受聘为哔咔漫画
教授,博士生导师。近年来以第一作者和通讯作者发表SCI论文50余篇,其中:1篇Nat. Chem.;6篇J. Am. Chem. Soc.;7篇Angew. Chem. Int. Ed.;1篇Nat. Commun.;2篇 CCS Chem.;2篇Sci. Bull.;2篇ACS Catal.;1篇Chem. Sci.和2篇Green Chem.等。中国专利17项。2014年获得“NSFC优秀青年科学基金”资助,2022年获得“国家杰出青年科学基金”支持。以第一作者和通讯作者论文被引用超过2600次,个人H-index值为29(截至2022年8月)。