氢气作为一种清洁、高效的能源形式,近年来在新能源汽车等多个领域备受瞩目。然而,氢气的易泄漏性和爆炸风险对氢燃料汽车的安全性构成了严重威胁,因此,高性能的车载氢气传感器成为确保氢燃料汽车安全运行的关键技术之一。金属氧化物半导体气体传感器因其成本低廉、体积小巧、稳定性好且易于制造等优点,一直是科研人员研究的热点。但传感机制的复杂性长期阻碍了半导体传感材料的合理设计。

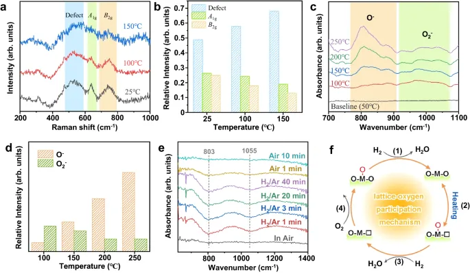
图:动态反应过程研究。利用原位拉曼光谱和原位DRIFTS分析了Ge-SnO2在不同温度和不同气氛下的表面状态变化,揭示了晶格氧在氢气传感反应中的动态转化过程。
李国栋团队通过创新的科研方法,结合原位表征技术和密度泛函理论(DFT)计算,深入探讨了晶格氧在氢气传感过程中的具体作用。研究发现,晶格氧不仅直接参与了传感反应,而且其参与程度可以通过调节氧p带中心的位置来影响。这一发现为理解氢气传感机制提供了全新的视角,并为设计新型气体传感材料提供了理论支持。基于以上理论,研究团队成功制备了锗(Ge)掺杂的二氧化锡(SnO2)纳米纤维,该材料展现出了高达39.2的氢气响应值,同时具备出色的选择性和快速的响应时间(< 2 s对于0.1% H2),显示出良好的实际应用前景。
这一突破性研究成果不仅增进了对氢气传感机制的理解,而且为开发更高效、更安全的车载氢气传感器奠定了基础,有望推动氢燃料汽车的商业化进程。
相关的研究成果近期发表在Nature communications杂志上,文章第一作者为哔咔漫画
博士生李佳玉,通讯作者包括哔咔漫画
的李国栋教授、宁波理工学院的高瑞芹博士以及第三军医大学的李秋菊博士。
文章详情:Jiayu Li, Wenzhe Si, Lei Shi, Ruiqin Gao*, Qiuju Li*, Wei An, Zicheng Zhao, Lu Zhang, Ni Bai, Xiaoxin Zou, Guo-Dong Li*,Nature Communications, 2024, DOI: 10.1038/s41467-024-47078-x.
原文链接://www.nature.com/articles/s41467-024-47078-x?utm_source=xmol&utm_medium=affiliate&utm_content=meta&utm_campaign=DDCN_1_GL01_metadata